60寸液晶屏尺寸長寬?
2024-09-25 14:12:18
60寸液晶屏的尺寸指的是屏幕對角線的長度,單位是英寸。液晶屏的長寬比例通常為16:9。因此,利用這個比例,可以計算出60寸屏幕的大致長寬。
1、對角線長度:60英寸(1英寸=2.54厘米)
2、寬高比例:16:9
首先,將60英寸轉換為厘米:
60英寸=60×2.54=152.4厘米
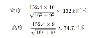
接著,通過三角函數關系來計算寬度和高度:

因此,60寸液晶屏的大致長寬為 132.8 厘米 x 74.7 厘米。

上一篇:液晶屏幕閃爍的原因與解決方案
下一篇:如何選擇一款合適的10.1寸液晶屏?
